PMMA bone cement: what is the role of local antibiotics?
Background: Periprosthetic joint infection (PJI) remains a significant complication in orthopedic surgery, associated with high morbidity and substantial economic burden. While polymethylmethacrylate (PMMA) bone cement is established for prosthesis fixation, the routine use of antibiotic-loaded bone cement (ALBC) for infection prophylaxis and management remains a subject of clinical debate regarding efficacy and the potential for antimicrobial resistance.
Objective: This review evaluates the clinical evidence, pharmacokinetic properties, and microbiological rationale for utilizing ALBC in primary and revision arthroplasty, focusing on its role as a local drug delivery system to prevent and treat biofilm-associated infections.
Key Points: Analysis of large-scale arthroplasty registries indicates that combining systemic antibiotic prophylaxis with ALBC significantly reduces revision rates due to infection compared to either method alone. Gentamicin is the standard additive for primary procedures due to its broad-spectrum activity and favorable elution kinetics. In revision settings, high-dose ALBC containing synergistic combinations, such as gentamicin with clindamycin or vancomycin, provides high local concentrations exceeding the minimum inhibitory concentration for sessile bacteria without significant systemic toxicity. Data suggest that industrially manufactured ALBC maintains superior mechanical properties and more predictable antibiotic release profiles compared to manual admixing. Furthermore, the use of ALBC spacers in two-stage revision protocols facilitates infection eradication while maintaining joint space and function.
Conclusion: ALBC serves as an effective adjuvant in arthroplasty, providing a critical local barrier against bacterial colonization and biofilm formation. Its application is supported by registry data demonstrating improved implant survivorship and cost-effectiveness, particularly in high-risk patient populations and complex revision scenarios.
Introduction
Recently, PMMA bone cement has celebrated the 50th anniversary of its clinical use. During this time, surgeons have appreciated the product’s unique mechanical properties for the fixation of implants into joints and weak bone structures leading to the long-term success of joint prostheses after both primary and revision surgery.
Due to its primary fixation purpose antibiotic loaded bone cement (ALBC) has been classified as a class III medical device according to the CE standard for the fixation of primary or revision implants. Because of the high initial release of local antibiotics into the joint cavity, ALBC has also been successfully used for decades for prophylactic reasons aimed at prevention of bacterial colonisation of the prosthesis. Gentamicin is generally chosen because of the controlled diffusion out of the cement mantle and the broad spectrum bactericidal effect against a wide variety of gram-positive or gram-negative bacterial contaminants. However, in times of increasing bacterial resistance, empiric use of antibiotics (AB) has become a controversial discussion point, and it appears justified to ask the following question: Does the addition of one or several AB to bone cement really add benefit to the common practice of systemic AB prophylaxis and to AB treatment protocols in cases of already established prosthetic joint infections?
Fortunately, prosthetic joint infection (PJI) is a rare pathology, but treatment of the infection is often complex and increasingly difficult in view of the growing prevalence of difficult-to-treat pathogens and higher patient risk factors. Apart from the surgical challenge and the impact on the patient, PJI treatment involves high costs which are often more than twice the cost of an aseptic joint replacement.
European registries have shown longer survival data of cemented arthroplasty, particularly when looking at the endpoint revisions due to infection [1] Dale H. et al., Increasing risk of revision due to deep infection after hip arthroplasty. Acta Orthopaedica 80 (6), 639-645, 2009. (see Figure 1, 2). It has to be pointed out, however, that important parameters, such as patient-, pathogen- and treatment-related risk factors can rarely be compared across the different groups. Since larger randomised controlled clinical trials with ALBC involving thousands of patients with long clinical observation periods have not been performed, the clinical evidence regarding its efficacy and safety is still limited and is largely derived from the analysis of registries or retrospective single-centre studies.

To circumvent the problem of a low statistical power typically associated with clinical studies of rare pathologies, so called surrogate markers and surrogate endpoints are often used to evaluate the efficacy of a particular treatment concept. Therefore, in case of ALBC it has been proposed to evaluate their efficacy as local AB carrier in addition to its fixation quality by assessing their potential to inhibit biofilm formation on the implant surface. To provide an overview and to deepen the knowledge of this concept, this review focuses in the following on the role and clinical evidences of ALBC in orthopaedic surgery.
A medical blockbuster for a long time
Chemically, PMMA cement is acrylic plexiglas made of PolyMethylMethAcrylate (= PMMA). When this material was used in the 1940s in surgery for the first time, it was intended to fill gaps in the skull. Many clinical investigations have proven the non-toxicity of PMMA in this indication. Thanks to its outstanding compatibility with human tissue, PMMA later found its place in the fixation of femoral implants since the 1950s.
PMMA cement has now been successfully used in orthopaedic surgery for more than two generations. Its excellent biomechanical properties have been evaluated in many scientific studies [2], Dunne N.J. et al., Incorporation of large amounts of gentamicin sulphate into acrylic bone cement: effect on handling and mechanical properties, antibiotic release, and biofilm formation. Proceedings of the Institution of Mechanical Engineers. Part H, Journal of Engineering in Medicine 222, 355-365, 2008.[3], Benjamin J.B. et al., Cementing technique and the effects of bleeding. Journal of Bone & Joint Surgery Br., 69, 620–624, 1987.[4], Kühn K.-D., Knochenzemente für die Endoprothetik. ISBN 3-540-41182-8, Springer Berlin Heidelberg, 2001.[5], Kühn K.-D., Bone Cements: Up-to-Date Comparison of Physical and Chemical Properties of Commercial Materials. ISBN 3-540-67207-9, Springer Berlin; New York, 2000 [6] Kühn K.-D., PMMA Cements. ISBN 13 978-3-642-41535-7, Springer Berlin; New York, 2014.. The main role of cement is to quickly stabilise the implant in bone tissue, improve the load distribution on the contact surface, fill and level off the implant-bone interface and also stiffen the spongy bone around the implant. All these properties improve the anchorage of the implant in bone, or more generally said, they improve the ideal integration of a foreign body in a biological medium.
Today, several million orthopaedic procedures are conducted worldwide and more than half of them routinely use PMMA cements. Thanks to the ease of use, but above all, thanks to the confirmed long-term survivorship of cemented implants, PMMA cement is recognised as a reliable and well tolerated anchorage material. The unique properties of PMMA cements ensure rapid and simple fixation of the joint implant, even in patients with active osteoporosis. As proof of concept, international arthroplasty registers demonstrate the excellent long-term outcomes of a cemented prosthesis [7], Herberts P. et al., Swedish National Hip Arthroplasty Register. Annual Report 2004.[8], Malchau H., Herberts P., Prognosis of Total Hip Replacement. Scientific Exhibition. 65th Annual Meeting of the American Academy of Orthopaedic Surgeons, March 19–23, 1998, New Orleans, USA.[9], Malchau H., Swedish National Hip Arthroplasty Register. Annual Report 2003.[10], Phillips JRA. et al., Registry review knee arthroplasty. Bone & Joint Journal 360, 3, 2-8, 2014.[11], NJR 11th Annual Report 2014., ISSN 2054-183X (Online)[12] Troelsen A. et al., A review of current fixation use and registry outcomes in total hip arthroplasty: the uncemented paradox. Clin Orthop Relat Res. 471, 2052-2059, 2013..
In most of these registers, the results for cemented prostheses are compared with those for cementless prostheses. The discussion which technique is superior is quite controversial, the more so as the decision of whether to use or not a bone cement for fixation also depends to a high extent on patient factors [11] NJR 11th Annual Report 2014., ISSN 2054-183X (Online). However, it has been proven by many arthroplasty registries that older patients (> 75 years) particularly benefit from cemented prostheses as evidenced by the lower numbers of joint revisions [12] Troelsen A. et al., A review of current fixation use and registry outcomes in total hip arthroplasty: the uncemented paradox. Clin Orthop Relat Res. 471, 2052-2059, 2013..
Cementless total hip replacement (THR) is the preferred choice in young patients, although the fixation procedure for such hip implants is often considered to be more demanding and the cementless implants are more expensive in comparison to their cemented counterparts. In contrast to the overall trend towards uncemented THR, cemented fixation is still considered the gold standard in almost all total knee replacements (TKR) worldwide, regardless of patient age [10], Phillips JRA. et al., Registry review knee arthroplasty. Bone & Joint Journal 360, 3, 2-8, 2014.[13] Gandhi R. et al., Survival and clinical function of cemented and uncemented prostheses in total knee replacement: a meta-analysis. J Bone Joint Surg Br., 91(7), 889–895, 2009.
Since its introduction, PMMA cement has been combined with an AB agent, which is in the majority of cases the aminoglycosides gentamicin or tobramycin. The first such commercially available ALBC were introduced in the 70ies in the market as pharmaceutical products. In order to further improve the function of PMMA as a local drug delivery system and to adapt the anti- infective spectrum to a special pathogen profile, other AB than gentamicin and combinations of at least two AB are often added. Certain combinations of AB are particularly interesting because of the synergistic elution effect which leads to a higher mutual AB release. This holds true for e.g. vancomycin combined with gentamicin [14], Valour F. et al., Antimicrobial activity againstintraosteoblastic Staphylococcus aureus. Antimicrob Agents Chemother. 59(4), 2029-2036, 2015.[15] Mulazimoglu L. et al. Vancomycin-gentamicin synergism revisited: effect of gentamicin susceptibility of methicillin-resistant Staphylococcus aureus. Antimicrob Agents Chemother. 40(6), 1534-1535, 1996. and clindamycin combined with gentamicin [[14] Valour F. et al., Antimicrobial activity againstintraosteoblastic Staphylococcus aureus. Antimicrob Agents Chemother. 59(4), 2029-2036, 2015.. The release of the antibiotics from the outer cement mantle follows the law of diffusion and correlates directly with the hydrophilic properties of the cement polymers. For primary arthroplasties bone cement containing gentamicin represents in most countries the gold standard for the local prevention of prosthetic joint infections due its broad-spectrum and strict concentration-dependant antimicrobial effect.
The main advantage of using PMMA as local delivery system for AB is the finding that the site of application is the strict site of the effect. Pharmacokinetic studies have shown that an initially very high and effective local concentration of the AB is obtained at the implant- cement-bone interface without significant systemic burden which is evident in the only transiently increased AB levels in urine and serum. Applying the same AB via oral or intravenous route has, however, the exact opposite effect with high concentrations in urine and serum, but only low AB levels in bone tissue and joint spaces, often below the minimal inhibitory concentration of a bacterial pathogen [16] Wahlig H., Kinetics of the liberation of antibiotics from bone cements: results of comparative studies in vitro and in vivo. Aktuelle Probleme in Chirurgie und Orthopädie, 31, 221-226, 1987.. The higher the concentration of an AB such as gentamicin, the better its bactericidal action and its capacity to decontaminate the prosthesis and its surroundings from possible bacteria introduced into the surgical site. The observation that high local concentrations of some ABsuch as clindamycin may additionally eradicate intracellular persistent forms of Staphylococcus aureus in already established PJI cases [14] Valour F. et al., Antimicrobial activity againstintraosteoblastic Staphylococcus aureus. Antimicrob Agents Chemother. 59(4), 2029-2036, 2015. adds additional arguments to the assumption that local AB in combination with systemic AB have a benefit [43], Engesaeter LB. et al., Antibiotic prophylaxis in total hip arthroplasty: effects of antibiotic prophylaxis systemically and in bone cement on the revision rate of 22,170 primary hip replacements followed 0-14 years in the Norwegian Arthroplasty Register. Acta orthop Scand 74, 644-651, 2003.[49] Jämsen E. et al., Risk factors for infection after knee arthroplasty: a register-based analysis of 43,149 cases. J Bone Joint Surg Am., 91, 38-47, 2009..
A broad range of gram-positive and gram-negative bacteria have been identified as causative agents of PJI. Although being rare cases, even fungi, such as Candida, have been found as part of a polymicrobial infection flora in immunocompromised patients. Table 1 shows which pathogens are most relevant in PJI.

Biofilm formation and bacterial colonisation of implants
Most research into bacterial pathogenesis has focused historically on acute infections, but these diseases have now been supplemented by the new category of chronic infections caused by bacteria growing in slime- enclosed sessile aggregates known as biofilms. Biofilm infections associated with chronic wounds and implants or catheters affect millions of people. The hallmark of chronic biofilm infections is the extreme resistance of the highly growth-retarded sessile bacterial phenotypes to AB and other antimicrobial agents. In addition, the slimy biofilm layers made of carbohydrates and proteins provide a safe habitat in which the germs are physically and chemically protected from killing by the host immune defence mechanisms [18] Del Pozo JL. Patel R., Infection associated with prosthetic joints. N Engl J Med, 361, 787-794, 2009..
Pathomechanisms of PJI: Every surgical operation bears the risk of a bacterial contamination which may subsequently turn into an infection if not cleared. Joint replacement poses the patient at a particularly high risk for infections due to the additional presence of the implant or bone cement (if not loaded with AB) which can be easily colonised. PJI is often associated with severe joint pain and often reduces patient mobility. In extreme cases it may even lead to the loss of a limb or even to death if a generalised septic situation evolves from the local infection focus. In all cases treatment of PJI is associated with more extensive and time-consuming surgical interventions and high costs.
Biofilms form when bacteria of e.g. the skin or intestinal flora contaminate the surgical site and start to adhere to surfaces in aqueous environments. They subsequently excrete a slimy substance that can anchor them to all kinds of material - metals, plastics, soil particles, medical implant materials and necrotic tissue. The first bacterial colonists to adhere to a surface initially do so by inducing weak, reversible bonds. If the colonists are not immediately cleared from the surface, they can anchor themselves more permanently using cell adhesion molecules on their surfaces that bind other cells in a process called cell adhesion [19] Costerton JW. et al., Biofilm in implant infections: its production and regulation. Int J Artif Organs. , 28(11), 1062-8, 2005.. It is thought, that in the course of the following hours the bacterial pioneers facilitate the arrival of other pathogens by providing more diverse adhesion sites. They begin to build the matrix that holds the biofilm together and transform into growth-retarded sessile forms.
In the presence of foreign material the minimum number of microorganisms required to initiate a Staphylococcus (S) aureus infection has been experimentally shown to decrease by more than 100,000 times [20] Harris LG., Richards RG., Staphylococci and implant surfaces: a review. Injury, 37 Suppl 2, S3-14, 2006.. This can be partly explained by the lack of locally acting granulocytes in the non-vascularised material [21] Zimmerli W., Handbook of Animal Models of Infection: Experimental models in antimicrobial chemotherapy, chapter 47, Academic Press, 410-417, 1999. In animal models the presence of 100 colony forming units of S. aureus was sufficient to infect 95% of subcutaneous implants [22] Zimmerli W., Infection and musculoskeletal conditions: Prosthetic-joint-associated infections. Best practice & research. Clinical Rheumatology 20, 1045-1063, 2006.. Although S. aureus belongs to the more virulent pathogens, similar pathomechanisms also exist for commensals of the human skin flora, such as S. epidermidis or Propioni acnes, the latter being a grossly underestimated pathogen in chronic low grade joint infections [23], Portillo ME. et al., Propionibacterium acnes: an underestimated pathogen in implant-associated infections. Biomed Res Int., doi: 10.1155/2013/804391. Epub 2013 Nov 6.[24] Portillo ME. et al., Prosthesis failure within 2 years of implantation is highly predictive of infection. Clin Orthop Relat Res. 471, 3672-3678, 2013..
Because of the biofilm-associated life cycle, detection of such low virulent bacterial pathogens is often difficult in fluid or biopsies making the confirmation or exclusion of a joint infection a real clinical challenge. In particular, anaerobic Propioni acnes is often not detected, as its growth in culture requires not only a sufficient number of free living (planktonic) bacteria in the specimen, but, in addition, a significantly longer incubation time of up to 14 days compared to “quick growers”. However, once properly diagnosed, Propioni acnes infections are not difficult to treat [23], Portillo ME. et al., Propionibacterium acnes: an underestimated pathogen in implant-associated infections. Biomed Res Int., doi: 10.1155/2013/804391. Epub 2013 Nov 6.[24], Portillo ME. et al., Prosthesis failure within 2 years of implantation is highly predictive of infection. Clin Orthop Relat Res. 471, 3672-3678, 2013.[25], Parvizi J. et al., Definition of periprosthetic joint infection: is there a consensus? Clin Orthop Relat Res. 469, 3022–3030, 2011.[26], Parvizi J. et al., Aseptic loosening of total hip arthroplasty: infection always should be ruled out. Clin Orthop Relat Res. 469, 1401–1405, 2011.[27], Nelson CL. et al., Is aseptic loosening truly aseptic?, Clin Orthop Relat Res. 437, 25-30, 2005. [28], Kanafani, ZA. et al., Postoperative joint infections due to Propionibacterium species: a case-control study, Clin Infect Dis. 49 (7), 1083-1085, 2009.[29], Furustrand Tafin U. et al., Role of rifampin against Propionibacterium acnes biofilm In vitro and in an experimental foreign-body infection model. Antimicrob Agents Chemother. 56(4), 1885-91, 2012.[30] Achermann Y. et al., Characteristics and outcome of 16 periprosthetic shoulder joint infections. Infection 41(3), 613-620, 2012.. Diagnosis of PJI is further complicated by the observation that some bacterial species, such as S. aureus, are able to completely change their phenotype from planktonic into highly growth- retarded, so called small colony variant (SCV) forms growing at an approximately 10 times lower reproduction rate. Furthermore, mixed polymicrobial infections which are increasing at an alarming trend in PJI with numbers exceeding 30% make the diagnosis and treatment even more difficult [31] Benito N. et al., Etiology of surgical site infections after primary total joint arthroplasties. J Orthop Res. 32, 33-637, 2014..
From these acute early or chronic delayed infections which are mainly due to perioperative contaminations, the category of acute late infections must be clearly distinguished. Any implant-carrier is, during life-time, at a higher risk of an implant-infection as a consequence of haematogenous seeding of bacteria from remote infection sites. This can occur at any time [32] Zimmerli W. et al., Prosthetic joint infections. N Engl J Med 351, 1645, 2004..
A direct relationship between the risk for PJI and the time of the operation is evident. Therefore, revision surgery leads to a higher number of PJI cases than primary arthroplasty following the “rule” that the more the vitality of bone and soft tissue is affected by previous revision(s), the higher is the infection risk. The presence of severe patient comorbidities, such as cardiovascular disease, poorly controlled glucose levels in diabetes mellitus or excess body weight, also plays a major role as risk factors in the development of PJI [33], Reina N. et al., Infection as a cause of primary total hip arthroplasty revision and its predictive factors. Orthop Traumatol Surg Res. 99(5), 555-61, 2013.[34] Grammatico-Guillon, L., Surveillance hospitalière des infections ostéo-articulaires en France: analyse des données médico-administratives, PMSI 2008, 2013.. A study in the US showed that only 12% of joint replacement patients were not suffering from other concomitant diseases, and that two out of three patients scheduled for knee joint replacement surgery had more than three comorbidities [35], Pugely AJ. et al., Comorbidities in patients undergoing total knee arthroplasty: do they influence hospital costs and length of stay? Clin Orthop Relat Res., 472(12), 3943–3950, 2014.[36] Pugely AJ., Added comorbidities increases in length of stay, costs after TKA. Paper #405. Presented at: the American Academy of Orthopaedic Surgeons Annual Meeting; March 11-15, New Orleans, 2015.. The need for a biofilm-directed prevention strategy is therefore biologically plausible and urgent [37], Tande AJ. et al., Clinical characteristics and outcomes of prosthetic joint infection caused by small colony variant staphylococci. MBio 5(5) e01910-14, 2014.[38] Tande AJ., Patel R., Prosthetic joint infection. Clin Microbiol Rev 27(2), 302-45, 2014..
The high “vulnerability” of any implant for bacterial colonisation and the increasing demand for knee and hip replacement serves to emphasise the importance of implementing strategies to minimise the risk of infections. However, as long as there is nothing commercially available which may fulfil this aim, surgeons still have to rely on “old” strategies for infection prevention, which includes strict theatre hygiene, quick operation times and appropriate systemic and local antibiotics.
Antibiotic prophylaxis - systemically
Use of appropriate AB is key for a successful prevention or treatment strategy of bacterial infections because of their specific action against bacteria. All medical guidelines emphasise the need to first identify the pathogen and then take the decision on the surgical and antibiotic approach to be adopted according to the type of intervention, the type of germ and the hospital setting [39] Osmon DR. et al. Diagnosis and management of prosthetic joint infection: clinical practice guidelines by the Infectious Diseases Society of America. Clinical Infectious Diseases, 56(1):e1–25, 2013.. Despite this wide consensus a recent study has shown that in at least 20% of cases therapy is not in line with recommendations and about 40% of hospitals do not properly code the pathogen [33] Reina N. et al., Infection as a cause of primary total hip arthroplasty revision and its predictive factors. Orthop Traumatol Surg Res. 99(5), 555-61, 2013.. It is obvious that improved diagnostic tools including for example the more and more used sonication technique of explanted prosthesis material to dislodge bacteria from biofilms [37], Tande AJ. et al., Clinical characteristics and outcomes of prosthetic joint infection caused by small colony variant staphylococci. MBio 5(5) e01910-14, 2014.[38], Tande AJ., Patel R., Prosthetic joint infection. Clin Microbiol Rev 27(2), 302-45, 2014.[40] Trampuz A. et al., Sonication of removed hip and knee prostheses for diagnosis of infection. N Engl J Med 357, 654-663, 2007. enable a better treatment of in particular difficult- to-detect bacteria such as Propioni acnes.
Provided that the causative microorganism is identified in PJI and the AB resistance and susceptibility profile of the germs are known, even resistant bacteria can be efficiently fought in the majority of cases [32], Zimmerli W. et al., Prosthetic joint infections. N Engl J Med 351, 1645, 2004.[41], Trampuz A. et al., Prosthetic joint infection: new developments in diagnosis and treatment. Deutsche Medizinische Wochenschrift 138, 1571-1573, 2013.[42] Tabutin J. et al., Antibiotic addition to cement - is it beneficial. Hip Int. 22(1):9-12, 2012.. However, this requires a close interaction between an infection disease specialist and/or microbiologist and the orthopaedic surgeon, in order to make the best decisions on the type of AB, route and time of administration. The use of systemic as well as local AB completes the surgical therapy which is the radical debridement of infected tissue.
Although being an essential part in arthroplasty, the efficacy of systemically administered AB against infections in the bone and prosthesis interface is often limited as a consequence of poor bone penetration.
Antibiotic prophylaxis - locally
The topical application of AB should be generally considered with caution because of the non-specific and difficult-to-control mode of action which may lead to an increased risk of antimicrobial resistance development. This has become evident in acne treatment with AB-containing creams or mupirocin-based MRSA decontamination strategies often leading to higher than usual AB resistance rates among skin pathogens after topical treatment. To circumvent this problem, techniques and solutions such as negative pressure therapy in wound care have been e couraged as alternatives for topical antibiotics [44], Borens O. et al., Diagnostic et traitement des infections d’implants orthopédiques. Orthopédie Volume 230, 2563-2568, 2009.[46] Yusuf E. et al., High bacterial load in negative pressure wound therapy (NPWT) foams used in the treatment of chronic wounds, Wound Repair Regen. 21(5), 677–681, 2013..
This concept, however, does not apply for the musculoskeletal system because of the high dose effect of local AB in the bone and joint compartments compared to the limited concentrations achieved here by systemically applied AB. Local administration of active ingredients in these compartments may therefore be justified as adjuvant prophylaxis and treatment strategy and is, in fact, clinically relevant [17], Corvec S. et al., Epidemiology and new developments in the diagnosis of prosthetic joint infection. Int. J. Artif. Organs 35, 923–934, 2012.[34], Grammatico-Guillon, L., Surveillance hospitalière des infections ostéo-articulaires en France: analyse des données médico-administratives, PMSI 2008, 2013.[47] Trampuz A., Zimmerli W., Diagnosis and treatment of implant-associated septic arthritis and osteomyelitis. Curr Infect Dis Rep. 10(5), 394-403, 2008..
A recently published meta-analysis of available clinical data has highlighted the crucial role of ALBC in lowering the risk for prosthetic joint infection by up to 50% [48] Parvizi J. et al., Efficacy of antibiotic-impregnated cement in total hip replacement. A meta-analysis. Acta Orthop 79: 335-341, 2008.. Similar conclusions were also drawn from large European registry studies [43], Engesaeter LB. et al., Antibiotic prophylaxis in total hip arthroplasty: effects of antibiotic prophylaxis systemically and in bone cement on the revision rate of 22,170 primary hip replacements followed 0-14 years in the Norwegian Arthroplasty Register. Acta orthop Scand 74, 644-651, 2003.[45], Colas S. et al., Association Between Total Hip Replacement Characteristics and 3-Year Prosthetic Survivorship : A Population-Based Study. JAMA Surg 150, 979-88, 2015.[49], Jämsen E. et al., Risk factors for infection after knee arthroplasty: a register-based analysis of 43,149 cases. J Bone Joint Surg Am., 91, 38-47, 2009.[50] NJR 10th Annual Report 2013 B.pdf. 2014 2014-01-05 14:50:48, 2014.. In light of these observations it can be stated that PMMA-based bone cement has proven clinical efficacy as a local carrier of active ingredients acting as a surgical and pharmaceutical adjuvant.
Antibiotic-loaded PMMA cement (ALBC)
The combination of systemic and local AB to prevent implant-related infections and to support the treatment of already established PJI follows in principle two rationales: first, from a pharmacokinetic point of view, both administration routes complement each other. Systemic AB provide high concentrations in serum and parenchymateous organs while local AB released from PMMA provide high concentrations in the otherwise difficult-to-access departments, such as bone tissue and joint spaces, because of the poor vascularisation of these tissues. Second, from an antimicrobial efficacy point of view, the mode and target of action of the systemic AB (often a cephalosporin for prophylactic purpose) is complemented by the action of the aminoglycoside gentamicin or combinations of it with other AB. This does not only widen the antimicrobial spectrum, but represents “two independent security levels”, in case the systemic AB prophylaxis has not beengiven at the correct time and/or in the correct dose prior to incision. The local AB barrier may also be effective in cases of primary resistance of bacterial contaminants to the systemic antibiotic.
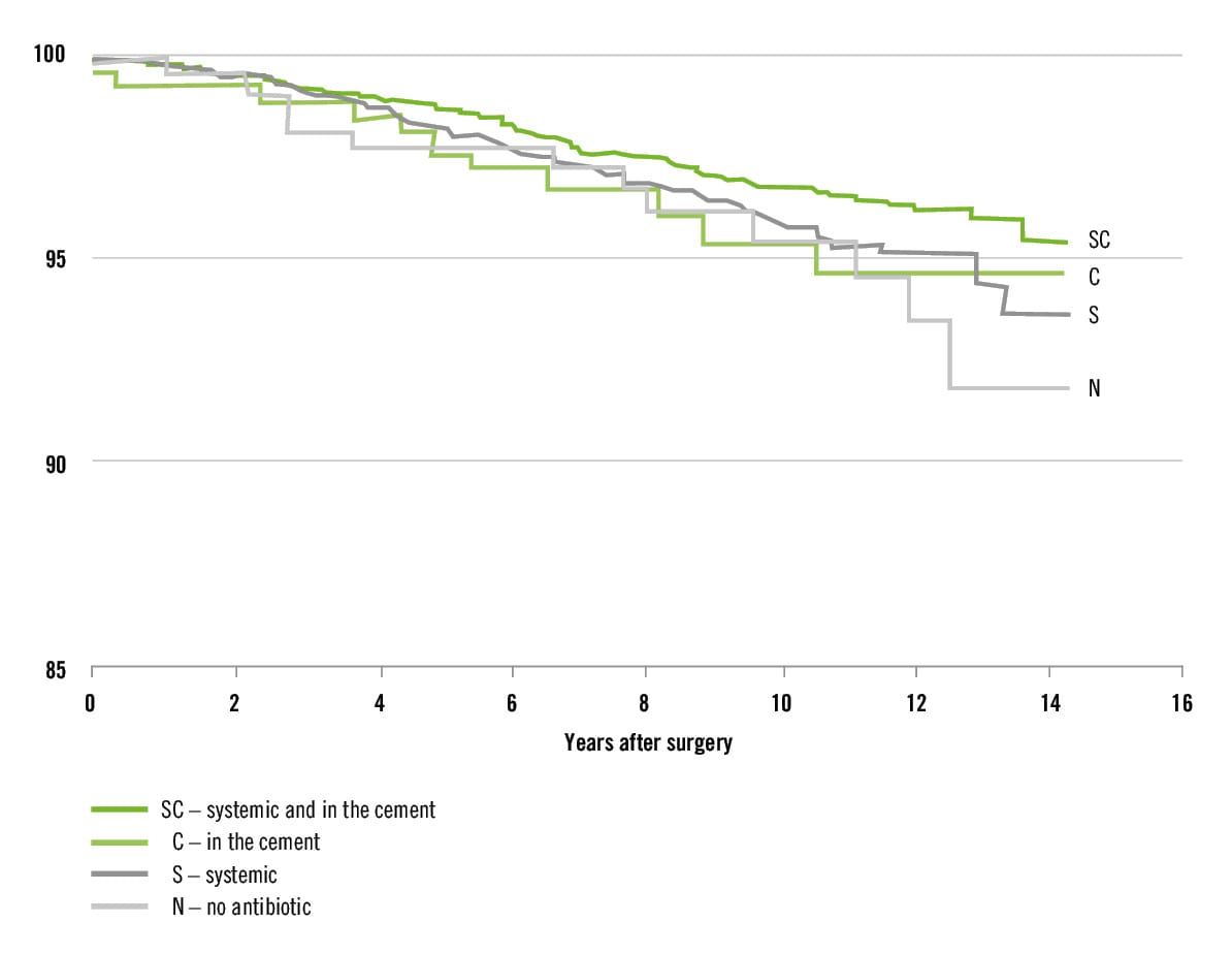
As proof of concept that the combination of both systemic and local AB prophylaxis “works” best, can be considered the data from several arthroplasty registers. The Norwegian hip register looked at the general revision risk over an observation period of 16 years comparing the risk of the group “no prophylaxis”, “systemic prophylaxis alone”, “local prophylaxis alone” and “combination of systemic and local prophylaxis” [43] Engesaeter LB. et al., Antibiotic prophylaxis in total hip arthroplasty: effects of antibiotic prophylaxis systemically and in bone cement on the revision rate of 22,170 primary hip replacements followed 0-14 years in the Norwegian Arthroplasty Register. Acta orthop Scand 74, 644-651, 2003.. It was found that the revision rate was lowest in the latter group (see Figure 3). Similar results were also obtained from the Finnish knee register concluding that no, or inappropriate local antibiotic prophylaxis, is an even higher risk factor than no systemic AB prophylaxis (see Figure 4), [49], Jämsen E. et al., Risk factors for infection after knee arthroplasty: a register-based analysis of 43,149 cases. J Bone Joint Surg Am., 91, 38-47, 2009.[51], Jämsen E. et al., Prevention of deep infection in joint replacement surgery: A review. Acta Orthop., 81(6), 660–666, 2010 [52] Jämsen E. et al., Outcome of prosthesis exchange for infected knee arthroplasty: the effect of treatment approach. Acta Orthop Scand 80(1), 67-77, 2009..


Recent results from the National Joint Registry (NJR) of England, Wales and Northern Ireland (the largest arthroplasty registry worldwide) add further evidence to the efficacy of ALBC in the prevention of revision surgery. The data, spanning the years 2004 – 2015, comprised 717,339 cemented total knee and 421,604 cemented total hip arthroplasty procedures. Of those, 47% and 59% of primary hip and knee arthroplasties, respectively, were performed using Palacos® R+G. A statistically significant reduction in the number of both hip and knee arthroplasty revisions was observed when using ALBC, specifically Palacos® R+G, compared to other bone cements, (see Figure 5).

Another recent data set is derived from a French cohort study with 100,200 patient data showing a clear association between total hip replacement characteristics and the survivorship of the implants. Cemented THA, in general, did not only show a lower revision risk compared to uncemented THA, but the use of ALBC added an additional survival benefit to the cemented hip implants (see Figure 6) [45] Colas S. et al., Association Between Total Hip Replacement Characteristics and 3-Year Prosthetic Survivorship : A Population-Based Study. JAMA Surg 150, 979-88, 2015..

Last but not least, the results from a recent randomised clinical trial with 848 intracapsular neck fracture patients in the UK have added strong evidence to which extent a high dose double AB-loaded bone cement is able to reduce the infection rate in high risk patients. If the bone cement Copal® G+C (containing 1g of gentamicin and 1g of clindamycin in 40g of cement) was used for cemented hemiarthroplasty procedures instead of the low dose cement Palacos® R+G (containing 0.5 g of gentamicin), the incidence rate of superficial and deep infections was drastically reduced from 5.0% to 1.7% [53] Jensen C. et al., High dose, double antibiotic-impregnated cement reduces surgical site infection (SSI) in hip hemiarthropalsty: a randomized controlled trial of 848 patients with intracapsular neck of femur fractures. Bone & Joint Journal Orthopaedic Proceedings Supplement, 95-B, 53-59, 2013..
Because of the favourable clinical data for ALBC, many clinical guidelines including the most recent guideline issued by the European Society of Clinical Microbiology and Infectious Diseases (ESCMID) [55] Hoiby N. et al., ESCMID guideline for the diagnosis and treatment of biofilm infections. Clin Microbiol Infect, 21 Suppl 1, 21-25, 2015. recommend to consider the use of ALBC to reduce the incidence of prosthesis-associated biofilm infections.
Use of ALBC has also been common practice for long time for the fixation of revision implants after two-stage revision procedures and for the manufacture of interim spacers in the time interval between the first and second stage as a strategy for the reduction of the risk of infection relapses.
As already mentioned, AB locally released from bone cement do not result in a significant systemic uptake of the active ingredient into organs and body compartments other than bone and joint tissue [56], Langlais FL. et al., Dual mobility cemented cups have low dislocation rates in THA revisions. Clinical Orthopaedics and Related Research, 466, [57] Kienapfel H., Kühn, KD. (Eds.) The infected implant, ISBN 978-3540-92835-5, Springer Science & Business Media, 2009. . This can be explained by the specific kinetics of release of the antibiotic from the PMMA surface with a high initial elution rate followed by constant release over several days [16] Wahlig H., Kinetics of the liberation of antibiotics from bone cements: results of comparative studies in vitro and in vivo. Aktuelle Probleme in Chirurgie und Orthopädie, 31, 221-226, 1987.. An absolute prerequisite of the antimicrobial effect of ALBC is a local AB concentration well above the minimal inhibitory concentration (MIC) and minimal bactericidal concentration (MBC) of those bacteria which may cause PJI after implantation of the prosthesis. Low dose (0.5-1g of antibiotic) ALBC used in primary arthroplasty should in principle fulfil the requirement to act as a colonisation barrier. However, according to several in vitro and clinical studies, the quantity of eluted AB and the duration of the AB release vary significantly among different commercial brands of ALBC, thus suggesting careful selection of the brand of ALBC [3], Benjamin J.B. et al., Cementing technique and the effects of bleeding. Journal of Bone & Joint Surgery Br., 69, 620–624, 1987.[4], Kühn K.-D., Knochenzemente für die Endoprothetik. ISBN 3-540-41182-8, Springer Berlin Heidelberg, 2001.[5], Kühn K.-D., Bone Cements: Up-to-Date Comparison of Physical and Chemical Properties of Commercial Materials. ISBN 3-540-67207-9, Springer Berlin; New York, 2000 [9], Malchau H., Swedish National Hip Arthroplasty Register. Annual Report 2003.[12], Troelsen A. et al., A review of current fixation use and registry outcomes in total hip arthroplasty: the uncemented paradox. Clin Orthop Relat Res. 471, 2052-2059, 2013.[57], Kienapfel H., Kühn, KD. (Eds.) The infected implant, ISBN 978-3540-92835-5, Springer Science & Business Media, 2009. [58], Kühn KD. et al., Acrylic bone cements: mechanical and physical properties. Orthop Clin North Am 36(1), 29-39, 2005.[59] JENSEN C, GUPTA S, SPROWSON A, CHAMBERS S, INMAN D, JONES S, u. a. High dose, double antibiotic-impregnated cement reduces surgical.
Being a strict concentration-dependant bactericidal AB, the absolute concentration of gentamicin is an important parameter of its efficacy to prevent biofilm formation of even intermediate resistant germs in the “race for the surface” [60] MRSA: the French perspective [Internet]. Hospital Pharmacy Europe. [zitiert 8. August 2014]. Verfügbar unter: http://www.hospitalpharmacyeurope.com/featured-articles/mrsa-french-perspective together with the systemic AB prophylaxis. Once a biofilm has been formed, the MIC is increased by a factor of at least 1000 because of the sessile bacterial phenotype. Eradication of biofilm bacteria is therefore a great challenge requiring the complete explantation of the biofilm-contaminated prosthesis and cement followed by radical surgical debridement of neighbouring bone and soft tissue. To further support the eradication of the bacterial pathogens, the combination of anti-biofilm-active systemic AB, such as rifampicin, and high-dose local AB are then needed.
A closer look into ALBC used in primary surgery
ALBC used in primary arthroplasty are so-called low dose antibiotic cements (typically 0.5-1g of antibiotic per 40g cement powder) containing a broad spectrum AB active against a variety of gram-positive and gram-negative bacteria which are frequent in orthopaedic infections. Bactericidal AB are clearly preferable because of their rapid killing activity which is not restricted to actively multiplying germs. ABs with only a bacteriostatic activity are not suitable.
Gentamicin, an aminoglycoside, is the AB of choice in such low dose cements, as it perfectly fulfils this criteria. On the one hand it acts against a wide spectrum of germs including Staphylococci, Enterococci and Enterobacteriacae targeting more than 70% of the relevant pathogens in PJI [16] Wahlig H., Kinetics of the liberation of antibiotics from bone cements: results of comparative studies in vitro and in vivo. Aktuelle Probleme in Chirurgie und Orthopädie, 31, 221-226, 1987. with a strict concentration-dependant bactericidal effect. On the other hand, it has an excellent elution profile from the PMMA bone cement matrix. Local gentamicin- induced cell toxicity is of no concern at concentrations released from ALBC [16] Wahlig H., Kinetics of the liberation of antibiotics from bone cements: results of comparative studies in vitro and in vivo. Aktuelle Probleme in Chirurgie und Orthopädie, 31, 221-226, 1987..
Studies show that the drug release rate is initially high and then declines after a few days. Release from PMMA cement takes place according to the laws of diffusion from the material. The release of the active ingredient is directly proportional to the water absorption capacity (hydrophilicity) of PMMA and also depends on the existing surface area. All commercially available ALBC differ with respect to their polymer composition and the production process leading to large differences with respect to their antibiotic release rates [6], Kühn K.-D., PMMA Cements. ISBN 13 978-3-642-41535-7, Springer Berlin; New York, 2014.[59] JENSEN C, GUPTA S, SPROWSON A, CHAMBERS S, INMAN D, JONES S, u. a. High dose, double antibiotic-impregnated cement reduces surgical. Figure 7 compares different AB release from commercially available bone cements:
A recurrent controversy is the concern that the routine use of gentamicin-containing bone cement in arthroplasty might promote the development of bacterial resistance. Although this cannot be completely ruled out - especially if using a bone cement matrix with low AB release capacity - this phenomenon doesn’t appear to be of major clinical importance. Both, in Scandinavia and in Germany, two regions where ALBC have been in widespread use for many years, there is no indication of a higher gentamicin resistance rate in the orthopaedic ward. Recent AB resistance mapping studies have even shown a trend to lower resistance rates of the germ S. aureus to gentamicin [61] KÖCK R, BECKER K, COOKSON B, VAN GEMERT-PIJNEN JE, HARBARTH S, KLUYTMANS J, u. a. Methicillin-resistant Staphylococcus. The issue whether routine use of ALBC in primary arthroplasty favours AB resistance has also been addressed in a recent study at one of the most active clinics in the US regarding the number of hip and knee replacement procedures. It was found that the shift from plain cement to ALBC in 2003 had no impact on the number and pattern of AB resistancies of bacterial germs in the orthopaedic ward [62] WAHLIG DH, SCHLIEP DH-J, BERGMANN DR, HAMEISTER DW, GRIEBEN DA. Über die Freisetzung von Gentamycin aus Polymethylmethacrylat.
Consideration of all available clinical evidence, it must be concluded that ALBC has proven its additional benefit in infection prophylaxis in primary arthroplasty [56], Langlais FL. et al., Dual mobility cemented cups have low dislocation rates in THA revisions. Clinical Orthopaedics and Related Research, 466, [63], CHOHFI M, LANGLAIS F, FOURASTIER J, MINET J, THOMAZEAU H, CORMIER M. Pharmacokinetics, uses, and limitations of vancomycin-[64], CORBETT KL, LOSINA E, NTI AA, PROKOPETZ JJZ, KATZ JN. Population-Based Rates of Revision of Primary Total Hip Arthroplasty: A Systematic[65] ARGENSON J-N, BOISGARD S, PARRATTE S, DESCAMPS S, BERCOVY M, BONNEVIALLE P, u. a. Survival analysis of total knee.

Revision surgery and targeted AB-loaded cements
Septic revisions due to PJI are already a huge burden with incidence rates probably underestimated in the arthroplasty registers [66], CUMMINS JS. Cost-Effectiveness of Antibiotic-Impregnated Bone Cement Used in Primary Total Hip Arthroplasty. 1. März 2009;634.[67], ENGESAETER LB, DALE H, SCHRAMA JC, HALLAN G, LIE SA. Surgical procedures in the treatment of 784 infected THAs reported to the Norwegian[68], MORTAZAVI SMJ, VEGARI D, HO A, ZMISTOWSKI B, PARVIZI J. Two-stage exchange arthroplasty for infected total knee arthroplasty: predictors of[69], TRAMPUZ A, WIDMER AF. Infections associated with orthopedic implants. 2006;349–56.[70] MEROLLINI KM, CRAWFORD RW, GRAVES N. Surgical treatment approaches and reimbursement costs of surgical site infections post hip arthroplasty in. Effective infection control with the aid of ALBC is therefore even more essential. Typically, high-dose AB cements (2g and more per 40g cement powder) are used in this indication either for the anchorage for the revision prosthesis in one or two stage protocols or for the manufacture of ALBC spacers in the interim period of 2-stage protocols following the rationale, the more AB you add the more AB might potentially be eluted. Which of the surgical options is the best depends on the course of infection, the pathogen, the amount of bone loss and on further patient risk factors. A multi- disciplinary team including an infectious disease specialist and/or a microbiologist may advocate for the best patient- and germ-adapted treatment approach [32], Zimmerli W. et al., Prosthetic joint infections. N Engl J Med 351, 1645, 2004.[44] Borens O. et al., Diagnostic et traitement des infections d’implants orthopédiques. Orthopédie Volume 230, 2563-2568, 2009..
In contrast to low dose ALBC in primary procedures, such high dose ALBC should contain an AB (or better combinations of AB) which allow the rational targeting of bacterial pathogens based on the prior antibiogram. However, it must be pointed out that that high amounts of added AB to the cement powder may compromise the mechanical stability of the bone cement. It is therefore critical not to exceed a certain amount of added AB (typically max. 10% of cement powder), if the cement is used for the fixation of the revision prosthesis. The mechanical aspects are not as much of a concern when using high dose ALBC for spacer manufacture.
Another strong argument for a high local concentration of some particular AB has been provided by a recent study comparing the intracellular killing activity of several AB. It was shown that clindamycin exhibits a potent antimicrobial effect on intracellular S. aureus, suggesting that this mainly bacteriostatic AB at systemic concentrations can become bactericidal when delivered directly in local bone environment (see Figure 8).

Combination of Gentamicin and Clindamycin in ALBC
Gentamicin and clindamycin combined in bone cement act synergistically with respect to the spectrum of antimicrobial action [14] Valour F. et al., Antimicrobial activity againstintraosteoblastic Staphylococcus aureus. Antimicrob Agents Chemother. 59(4), 2029-2036, 2015.. This combination also targets anaerobic bacteria which are gaining growing importance as PJI pathogens, as well as streptococci often found in late haematogenous infections. Another clear advantage of this AB combination is its synergistic effect via a mutually increased elution from the PMMA matrix [6], Kühn K.-D., PMMA Cements. ISBN 13 978-3-642-41535-7, Springer Berlin; New York, 2014.[14] Valour F. et al., Antimicrobial activity againstintraosteoblastic Staphylococcus aureus. Antimicrob Agents Chemother. 59(4), 2029-2036, 2015. (see Figure 9). Because of their high local diffusion, the concentration of these two AB gentamicin and clindamycin is significantly higher than the minimum inhibitory concentration (MIC) and minimum bactericidal concentration (MBC) for several days and weeks at the surface of the cement. In addition, being a rather small sized molecule, clindamycin shows excellent bone penetration and exerts an intracellular bactericidal activity [14] Valour F. et al., Antimicrobial activity againstintraosteoblastic Staphylococcus aureus. Antimicrob Agents Chemother. 59(4), 2029-2036, 2015..

As proof of concept for the clinical benefit of such a synergistic high release profile of two AB serve the observations that 1. the Copal® G+C bone cement is more effective against biofilm formation than Palacos® with only gentamicin and 2. the incidence of superficial and deep infections is markedly reduced in the presence of this double-loaded cement if hemiarthroplasty procedures in intracapsular neck fracture patients were done with Copal® G+C instead of Palacos® R+G [53] Jensen C. et al., High dose, double antibiotic-impregnated cement reduces surgical site infection (SSI) in hip hemiarthropalsty: a randomized controlled trial of 848 patients with intracapsular neck of femur fractures. Bone & Joint Journal Orthopaedic Proceedings Supplement, 95-B, 53-59, 2013.. In light of the clinical data, this AB combination can therefore be recommended not only in all those septic revision cases where the antibiogram reveals sensitivity of the germ(s) for gentamicin and clindamycin, but also in high risk patients where the risk of infection is significantly higher than normal. Another indication for use could be those revision cases where the diagnosis is difficult and «uncertain» (e.g. culture-negative PJI cases) or in those situations where anaerobic bacteria such as Propioni acnes cannot be ruled out.
Another hallmark of AB combinations is the observation that the presence of two AB with different modes of action virtually rules out the risk of development of concomitant resistance to these two substances. Despite the high local concentration of both AB, systemic side effects are not a concern as evidenced by a clinical study showing that gentamicin and clindamycin peak only transiently in serum and urine after local use of Copal G + C and then quickly fall below detectable levels. Infection was resolved in all analysed patients during the observation period of one year.
Combination of Gentamicin and Vancomycin in ALBC
Methicillin resistant S. aureus (MRSA) is an important factor of hospital morbidity and mortality. Of equal or even higher clinical concern is, however, the growing methicillin resistance rates of S. epidermidis (MRSE). Current records indicate that MRSA/MRSE infections lead to significantly longer hospital stays, higher costs and an overall increase in mortality.
In all those PJI cases in which a MRSA/MRSE pathogen has been identified, vancomycin-loaded PMMA cement is the AB of choice for local administration during revision arthroplasty. The highly synergistic effect of both AB gentamicin and vancomycin has been well known to the infectious disease specialist for many years [15] Mulazimoglu L. et al. Vancomycin-gentamicin synergism revisited: effect of gentamicin susceptibility of methicillin-resistant Staphylococcus aureus. Antimicrob Agents Chemother. 40(6), 1534-1535, 1996.. Figure 10 shows the time-kill curve of this synergism. Again, it is highly recommended to combine vancomycin with gentamicin, as vancomycin alone diffuses very slowly out of the cement matrix because of size, structure and the relative hydrophobicity of this molecule. The synergistic elution effect with gentamicin ensures a far better diffusion of vancomycin (and gentamicin) leading to the strongest antimicrobial effect against various MRSA strains [6] Kühn K.-D., PMMA Cements. ISBN 13 978-3-642-41535-7, Springer Berlin; New York, 2014.. Figure 11 indicates the efficacy of this combination measured by the bacterial inhibition zone for a “wildtype” S. aureus (methicillin-sensitive) and different clinical MRSA isolates over a period of 7 days.


Manual Admixing of Antibiotics to Bone Cement
In view of the growing antimicrobial resistancies it is obvious that AB-bone cement mixtures must sometimes be customised to the specific pathogen profile involved in PJI cases. Multi-drug resistancies do not only refer to MRSA/MRSE, but refer also more and more to gram-negative bacteria and difficult-to-treat polymicrobial infections.
As mentioned earlier, the identification of the causative organism and the assessment of possible antibiotic resistancies is of paramount importance for successful infection management. If it proves necessary to admix an AB to PMMA cement in septic revision surgery, it is recommended to contact a specialist to ensure that the chosen antibiotic is sufficiently effective with PMMA. An inadequate quantity may compromise the stability of the prosthesis or a too low elution of the cement matrix may generate the emergence of resistant bacteria.
The AB powder must be soluble in water and a maximum dose of 4g per 40g of polymer powder (10%) should not be exceeded, if ALBC is used for fixation purpose. In case of ALBC used as temporary spacer the mechanical strength of the AB-cement mixture is of less importance. It must always kept in mind, that the manual addition of antibiotics can have a significant effect on the different mechanical properties of the cement. Inhomogeneous mixtures in particular reduce the stability of the matrix and can significantly reduce implant life span[6] Kühn K.-D., PMMA Cements. ISBN 13 978-3-642-41535-7, Springer Berlin; New York, 2014.. Similarly, it is difficult to predict any synergy and antagonism in terms of diffusion. When directly comparing manually AB-admixed bone cement with industrially manufactured commercial ALBC differences regarding antimicrobial elution rate and in vitro- antimicrobial efficacy have been found (see Figure 12).

Another in vitro comparison between commercially and manually mixed ALBC (Palacos R® as control, Palacos® R+G, and Palacos® R with gentamicin manually added) revealed that the inhibition zone for bacterial growth was larger with the commercial ALBC cement compared to the cement to which the antibiotic had been manually admixed.
Which PMMA spacer for two-stage revision surgery ?
Two-stage revision protocols treat the joint infection by using a ALBC spacer as a temporary prosthesis before insertion of the definite revision implant [5], Kühn K.-D., Bone Cements: Up-to-Date Comparison of Physical and Chemical Properties of Commercial Materials. ISBN 3-540-67207-9, Springer Berlin; New York, 2000 [32], Zimmerli W. et al., Prosthetic joint infections. N Engl J Med 351, 1645, 2004.[54] Langlais, F., et al., Antibiotic cements in articular prostheses: current orthopaedic concepts. International Journal of Antimicrobial Agents 28, 84-89, 2006..
Apart from high local AB elution, articulating ALBC spacers also allow a temporary joint function. By this, tissue retraction is avoided and the joint space maintained, which often facilitates the subsequent implantation of the revision prosthesis. An at least partial joint function is not possible with a non-articulating spacer. With respect to the efficacy of infection eradication differences between articulating and non- articulating spacers have not been observed.
Articulating PMMA spacers are subjected to a specific cement friction leading to abrasive cement particle wear. Such particle wear can have a negative impact on the future re-implantation of a prosthesis leading for example to a higher risk of subsequent revision implant loosening. It is also discussed if particle wear in an inflamed and previously infected environment leads to a “circulus viciosus” of increased cell apoptosis and higher probability for infection relapses through interaction with granulocytes.
The impact of local ABs in a two-stage interim PMMA cement spacer was analysed during a prospective clinical study conducted with 68 patients presenting acute infection of the hip prosthesis (all patients with fistula formation; gram-positive bacteria were detected in 68.5% of all infections and gram-negative bacteria in 31.5%). 30 of the 68 patients were treated during the intermediate period after removal of the infected prosthesis without spacer (Girdlestone resection) and 38 patients were treated with an ALBC spacer (with 1g of vancomycin/40 g). The infection recurrence rate in the Girdlestone group was 23.3% versus 5.2% in the group with spacer (see Figure 13). This result confirms prior observations that the local concentration of AB achieved in the infected joint cavity is usually much higher than that achieved with systemic therapy, without causing significant toxicity.
Taken together, this data suggest that the placement of a spacer with high dose antibiotics (gentamicin and vancomycin) after removal of the infected implant and debridement of the joint cavity can significantly reduce the risk of reinfection (Figure 13).

Special PMMA spacer cements with low-abrasive calcium carbonate/calcium sulphate used as a contrast medium for radiology, exhibit a markedly reduced abrasion of cement particles during the intermediate period (see Figure 14). The lower visibility of calcium carbonate on X-rays compared to conventional contrast agents such as zirconium dioxide and barium sulphate, is not a major concern, since the lower visibility of calcium carbonate is compensated for by the large size of the spacer.

In addition, because of the significantly higher hydrophilicity of such a cement matrix, these spacers elute antibiotics much better than “conventional” bone cement spacers.
Economic impact of ALBC
In view of the predicted ageing of the world’s population and the changes in lifestyle factors it is estimated that the number of people affected by musculoskeletal disorders and the numbers of subsequent joint replacement surgeries will drastically increase. In the United States alone, a doubling of the number of arthroplasty procedures is possible by 2030. The overwhelming success of arthroplasty is evident by the high patient satisfaction scores and the long life span of prostheses with 88 - 95% of the primary implants still functioning well after 10 years.
Complications of arthroplasty procedures are rare [17] Corvec S. et al., Epidemiology and new developments in the diagnosis of prosthetic joint infection. Int. J. Artif. Organs 35, 923–934, 2012.. However, surgeons and patients are increasingly faced with the problem of implant-associated infections. The consequences for patients and for the health service budgets are dramatic, mainly because of the longer hospital stays which often exceed 30 days compared to only a few days in primary or aseptic revision procedures. Also, the re-operation rate increases sharply if the first intervention for septic causes fails.
A crucial point in health economic evaluations is to analyse how medical interventions can create maximum benefit and output with a limited budget. Many countries try to control their health spending with methods that require calculations to show the relationship between the differences in the average costs of a technology compared with the best alternatives. The consequences not only in «physical terms» must therefore be measured with a cost-effectiveness analysis (CEA), but a cost-utility analysis (CUA) is required for a valuation of individual assessments of the consequences. This is expressed in QALY units meaning health related quality adjusted life years. This corresponds to a weighting of the time passed in good health (= utility). The results of cost- utility studies have so far not been a decisive factor for access to treatment reimbursement. However, this kind of analysis is becoming increasingly important for medical payers.
In Australia for instance ALBC was the subject of an incremental cost effectiveness ratio analysis (ICER). The result of the comparison between systemic AB therapy with and without concomitant use of ALBC revealed a gain of 32 QALY equivalent to a sum of AUD$ 123,000. A similar result was obtained in a study in the UK comparing AB cement with plain cement. ALBC used for local prophylaxis resulted in £37,355 per QALY.
Preventing deep SSI with AB prophylaxis and ALBC has shown to improve health outcomes, save lives, and enhance resource allocation [45] Colas S. et al., Association Between Total Hip Replacement Characteristics and 3-Year Prosthetic Survivorship : A Population-Based Study. JAMA Surg 150, 979-88, 2015.. The observation that the use of high dose gentamicin- and clindamycin-loaded bone cement does not only reduce the rate of superficial and deep SSI in hemi-arthroplasty procedures, but also reduces the number of days in ICU from 18 days to 3 days can be considered of major health economic impact. Another cost/benefit study (level II evidence) showed that the use of ALBC in primary hip replacement is cost-effective if assuming a significantly lower PJI incidence rate and costs for the treatment of septic revision case being approximately 3.5 times higher than the primary intervention.
Conclusion
Gaining deeper knowledge about the properties and the application of bone cement is of paramount importance to all orthopaedic surgeons. Although bone cement had been considered for a long time as a key biomaterial in the field of joint replacement surgery, its use has somewhat decreased because of the introduction of press-fit implants which encourage bone in-growth. The main purpose of bone cement is still a long-lasting fixation of prostheses. Since AB elute relatively well from PMMA, it must also be considered as a modern drug delivery system that delivers the required drugs directly to the surgical site. In view of the increasing challenges of more resistant bacterial pathogens and higher patient risk factors, the antibiotic carrier function gains additional importance to prevent the formation of bacterial biofilms and to suppress the incidence of infection relapses. The industry has reacted to these challenges by developing bone cements with tailored antibiotic combinations aimed at targeting different germ profiles.
References
1. Dale H. et al., Increasing risk of revision due to deep infection after hip arthroplasty. Acta Orthopaedica 80 (6), 639-645, 2009.
2. Dunne N.J. et al., Incorporation of large amounts of gentamicin sulphate into acrylic bone cement: effect on handling and mechanical properties, antibiotic release, and biofilm formation. Proceedings of the Institution of Mechanical Engineers. Part H, Journal of Engineering in Medicine 222, 355-365, 2008.
3. Benjamin J.B. et al., Cementing technique and the effects of bleeding. Journal of Bone & Joint Surgery Br., 69, 620–624, 1987.
4. Kühn K.-D., Knochenzemente für die Endoprothetik. ISBN 3-540-41182-8, Springer Berlin Heidelberg, 2001.
5. Kühn K.-D., Bone Cements: Up-to-Date Comparison of Physical and Chemical Properties of Commercial Materials. ISBN 3-540-67207-9, Springer Berlin; New York, 2000
6. Kühn K.-D., PMMA Cements. ISBN 13 978-3-642-41535-7, Springer Berlin; New York, 2014.
7. Herberts P. et al., Swedish National Hip Arthroplasty Register. Annual Report 2004.
8. Malchau H., Herberts P., Prognosis of Total Hip Replacement. Scientific Exhibition. 65th Annual Meeting of the American Academy of Orthopaedic Surgeons, March 19–23, 1998, New Orleans, USA.
9. Malchau H., Swedish National Hip Arthroplasty Register. Annual Report 2003.
10. Phillips JRA. et al., Registry review knee arthroplasty. Bone & Joint Journal 360, 3, 2-8, 2014.
11. NJR 11th Annual Report 2014., ISSN 2054-183X (Online)
12. Troelsen A. et al., A review of current fixation use and registry outcomes in total hip arthroplasty: the uncemented paradox. Clin Orthop Relat Res. 471, 2052-2059, 2013.
13. Gandhi R. et al., Survival and clinical function of cemented and uncemented prostheses in total knee replacement: a meta-analysis. J Bone Joint Surg Br., 91(7), 889–895, 2009
14. Valour F. et al., Antimicrobial activity againstintraosteoblastic Staphylococcus aureus. Antimicrob Agents Chemother. 59(4), 2029-2036, 2015.
15. Mulazimoglu L. et al. Vancomycin-gentamicin synergism revisited: effect of gentamicin susceptibility of methicillin-resistant Staphylococcus aureus. Antimicrob Agents Chemother. 40(6), 1534-1535, 1996.
16. Wahlig H., Kinetics of the liberation of antibiotics from bone cements: results of comparative studies in vitro and in vivo. Aktuelle Probleme in Chirurgie und Orthopädie, 31, 221-226, 1987.
17. Corvec S. et al., Epidemiology and new developments in the diagnosis of prosthetic joint infection. Int. J. Artif. Organs 35, 923–934, 2012.
18. Del Pozo JL. Patel R., Infection associated with prosthetic joints. N Engl J Med, 361, 787-794, 2009.
19. Costerton JW. et al., Biofilm in implant infections: its production and regulation. Int J Artif Organs. , 28(11), 1062-8, 2005.
20. Harris LG., Richards RG., Staphylococci and implant surfaces: a review. Injury, 37 Suppl 2, S3-14, 2006.
21. Zimmerli W., Handbook of Animal Models of Infection: Experimental models in antimicrobial chemotherapy, chapter 47, Academic Press, 410-417, 1999
22. Zimmerli W., Infection and musculoskeletal conditions: Prosthetic-joint-associated infections. Best practice & research. Clinical Rheumatology 20, 1045-1063, 2006.
23. Portillo ME. et al., Propionibacterium acnes: an underestimated pathogen in implant-associated infections. Biomed Res Int., doi: 10.1155/2013/804391. Epub 2013 Nov 6.
24. Portillo ME. et al., Prosthesis failure within 2 years of implantation is highly predictive of infection. Clin Orthop Relat Res. 471, 3672-3678, 2013.
25. Parvizi J. et al., Definition of periprosthetic joint infection: is there a consensus? Clin Orthop Relat Res. 469, 3022–3030, 2011.
26. Parvizi J. et al., Aseptic loosening of total hip arthroplasty: infection always should be ruled out. Clin Orthop Relat Res. 469, 1401–1405, 2011.
27. Nelson CL. et al., Is aseptic loosening truly aseptic?, Clin Orthop Relat Res. 437, 25-30, 2005.
28. Kanafani, ZA. et al., Postoperative joint infections due to Propionibacterium species: a case-control study, Clin Infect Dis. 49 (7), 1083-1085, 2009.
29. Furustrand Tafin U. et al., Role of rifampin against Propionibacterium acnes biofilm In vitro and in an experimental foreign-body infection model. Antimicrob Agents Chemother. 56(4), 1885-91, 2012.
30. Achermann Y. et al., Characteristics and outcome of 16 periprosthetic shoulder joint infections. Infection 41(3), 613-620, 2012.
31. Benito N. et al., Etiology of surgical site infections after primary total joint arthroplasties. J Orthop Res. 32, 33-637, 2014.
32. Zimmerli W. et al., Prosthetic joint infections. N Engl J Med 351, 1645, 2004.
33. Reina N. et al., Infection as a cause of primary total hip arthroplasty revision and its predictive factors. Orthop Traumatol Surg Res. 99(5), 555-61, 2013.
34. Grammatico-Guillon, L., Surveillance hospitalière des infections ostéo-articulaires en France: analyse des données médico-administratives, PMSI 2008, 2013.
35. Pugely AJ. et al., Comorbidities in patients undergoing total knee arthroplasty: do they influence hospital costs and length of stay? Clin Orthop Relat Res., 472(12), 3943–3950, 2014.
36. Pugely AJ., Added comorbidities increases in length of stay, costs after TKA. Paper #405. Presented at: the American Academy of Orthopaedic Surgeons Annual Meeting; March 11-15, New Orleans, 2015.
37. Tande AJ. et al., Clinical characteristics and outcomes of prosthetic joint infection caused by small colony variant staphylococci. MBio 5(5) e01910-14, 2014.
38. Tande AJ., Patel R., Prosthetic joint infection. Clin Microbiol Rev 27(2), 302-45, 2014.
39. Osmon DR. et al. Diagnosis and management of prosthetic joint infection: clinical practice guidelines by the Infectious Diseases Society of America. Clinical Infectious Diseases, 56(1):e1–25, 2013.
40. Trampuz A. et al., Sonication of removed hip and knee prostheses for diagnosis of infection. N Engl J Med 357, 654-663, 2007.
41. Trampuz A. et al., Prosthetic joint infection: new developments in diagnosis and treatment. Deutsche Medizinische Wochenschrift 138, 1571-1573, 2013.
42. Tabutin J. et al., Antibiotic addition to cement - is it beneficial. Hip Int. 22(1):9-12, 2012.
43. Engesaeter LB. et al., Antibiotic prophylaxis in total hip arthroplasty: effects of antibiotic prophylaxis systemically and in bone cement on the revision rate of 22,170 primary hip replacements followed 0-14 years in the Norwegian Arthroplasty Register. Acta orthop Scand 74, 644-651, 2003.
44. Borens O. et al., Diagnostic et traitement des infections d’implants orthopédiques. Orthopédie Volume 230, 2563-2568, 2009.
45. Colas S. et al., Association Between Total Hip Replacement Characteristics and 3-Year Prosthetic Survivorship : A Population-Based Study. JAMA Surg 150, 979-88, 2015.
46. Yusuf E. et al., High bacterial load in negative pressure wound therapy (NPWT) foams used in the treatment of chronic wounds, Wound Repair Regen. 21(5), 677–681, 2013.
47. Trampuz A., Zimmerli W., Diagnosis and treatment of implant-associated septic arthritis and osteomyelitis. Curr Infect Dis Rep. 10(5), 394-403, 2008.
48. Parvizi J. et al., Efficacy of antibiotic-impregnated cement in total hip replacement. A meta-analysis. Acta Orthop 79: 335-341, 2008.
49. Jämsen E. et al., Risk factors for infection after knee arthroplasty: a register-based analysis of 43,149 cases. J Bone Joint Surg Am., 91, 38-47, 2009.
50. NJR 10th Annual Report 2013 B.pdf. 2014 2014-01-05 14:50:48, 2014.
51. Jämsen E. et al., Prevention of deep infection in joint replacement surgery: A review. Acta Orthop., 81(6), 660–666, 2010
52. Jämsen E. et al., Outcome of prosthesis exchange for infected knee arthroplasty: the effect of treatment approach. Acta Orthop Scand 80(1), 67-77, 2009.
53. Jensen C. et al., High dose, double antibiotic-impregnated cement reduces surgical site infection (SSI) in hip hemiarthropalsty: a randomized controlled trial of 848 patients with intracapsular neck of femur fractures. Bone & Joint Journal Orthopaedic Proceedings Supplement, 95-B, 53-59, 2013.
54. Langlais, F., et al., Antibiotic cements in articular prostheses: current orthopaedic concepts. International Journal of Antimicrobial Agents 28, 84-89, 2006.
55. Hoiby N. et al., ESCMID guideline for the diagnosis and treatment of biofilm infections. Clin Microbiol Infect, 21 Suppl 1, 21-25, 2015.
56. Langlais FL. et al., Dual mobility cemented cups have low dislocation rates in THA revisions. Clinical Orthopaedics and Related Research, 466,
389-395, 2008.
57. Kienapfel H., Kühn, KD. (Eds.) The infected implant, ISBN 978-3540-92835-5, Springer Science & Business Media, 2009.
58. Kühn KD. et al., Acrylic bone cements: mechanical and physical properties. Orthop Clin North Am 36(1), 29-39, 2005.
59. JENSEN C, GUPTA S, SPROWSON A, CHAMBERS S, INMAN D, JONES S, u. a. High dose, double antibiotic-impregnated cement reduces surgical
site infection (SSI) in HIP hemiarthroplasty : a randomised controlled trial of 848 patients with intracapsular neck of femur fractures. Bone Jt J Orthop Proc Suppl. 8. Januar 2013;95-B(SUPP 31):53–53.
60. MRSA: the French perspective [Internet]. Hospital Pharmacy Europe. [zitiert 8. August 2014]. Verfügbar unter: http://www.hospitalpharmacyeurope.com/featured-articles/mrsa-french-perspective
61. KÖCK R, BECKER K, COOKSON B, VAN GEMERT-PIJNEN JE, HARBARTH S, KLUYTMANS J, u. a. Methicillin-resistant Staphylococcus
aureus (MRSA): burden of disease and control challenges in Europe. 2010 [zitiert 8. August 2014]; Verfügbar unter: http://edoc.rki.de/docviews/abstract.
php?id=1027
62. WAHLIG DH, SCHLIEP DH-J, BERGMANN DR, HAMEISTER DW, GRIEBEN DA. Über die Freisetzung von Gentamycin aus Polymethylmethacrylat
II. Experimentelle Untersuchungenin vivo. Langenbecks Arch Für Chir. 1. September 1972;331(3):193–212.
63. CHOHFI M, LANGLAIS F, FOURASTIER J, MINET J, THOMAZEAU H, CORMIER M. Pharmacokinetics, uses, and limitations of vancomycin-
loaded bone cement. Int Orthop. 1998;22(3):171–7.
64. CORBETT KL, LOSINA E, NTI AA, PROKOPETZ JJZ, KATZ JN. Population-Based Rates of Revision of Primary Total Hip Arthroplasty: A Systematic
Review. Rannou FP, Herausgeber. 20. Oktober 2010;e13520.
65. ARGENSON J-N, BOISGARD S, PARRATTE S, DESCAMPS S, BERCOVY M, BONNEVIALLE P, u. a. Survival analysis of total knee
arthroplasty at a minimum 10 years’ follow-up: a multicenter French nationwide study including 846 cases. Juni 2013;385–90.
66. CUMMINS JS. Cost-Effectiveness of Antibiotic-Impregnated Bone Cement Used in Primary Total Hip Arthroplasty. 1. März 2009;634.
67. ENGESAETER LB, DALE H, SCHRAMA JC, HALLAN G, LIE SA. Surgical procedures in the treatment of 784 infected THAs reported to the Norwegian
Arthroplasty Register. Oktober 2011;530–7.
68. MORTAZAVI SMJ, VEGARI D, HO A, ZMISTOWSKI B, PARVIZI J. Two-stage exchange arthroplasty for infected total knee arthroplasty: predictors of
failure. November 2011;3049–54.
69. TRAMPUZ A, WIDMER AF. Infections associated with orthopedic implants. 2006;349–56.
70. MEROLLINI KM, CRAWFORD RW, GRAVES N. Surgical treatment approaches and reimbursement costs of surgical site infections post hip arthroplasty in
Australia: a retrospective analysis. 2013;91.